Different ways to load an input graph#

We recommend using the GML graph format to load a graph. You can also use the DOT format, which requires additional dependencies (either pydot or pygraphviz).

DoWhy supports both loading a graph as a string, or as a file (with the extensions ‘gml’ or ‘dot’).

Below is an example showing the different ways of loading the same graph.

[1]:
import os, sys
import random
sys.path.append(os.path.abspath("../../../"))
[2]:
import numpy as np
import pandas as pd

import dowhy
from dowhy import CausalModel
from IPython.display import Image, display

I. Generating dummy data#

We generate some dummy data for three variables: X, Y and Z.

[3]:
z=[i for i in range(10)]
random.shuffle(z)
df = pd.DataFrame(data = {'Z': z, 'X': range(0,10), 'Y': range(0,100,10)})
df
[3]:
Z X Y
0 8 0 0
1 4 1 10
2 3 2 20
3 0 3 30
4 9 4 40
5 6 5 50
6 5 6 60
7 1 7 70
8 2 8 80
9 7 9 90

II. Loading GML or DOT graphs#

GML format#

[4]:
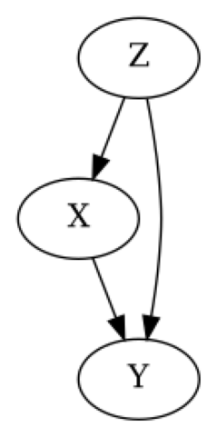
# With GML string
model=CausalModel(
        data = df,
        treatment='X',
        outcome='Y',
        graph="""graph[directed 1 node[id "Z" label "Z"]
                    node[id "X" label "X"]
                    node[id "Y" label "Y"]
                    edge[source "Z" target "X"]
                    edge[source "Z" target "Y"]
                    edge[source "X" target "Y"]]"""

        )
model.view_model()


display(Image(filename="causal_model.png"))
../_images/example_notebooks_load_graph_example_6_0.png
../_images/example_notebooks_load_graph_example_6_1.png
[5]:
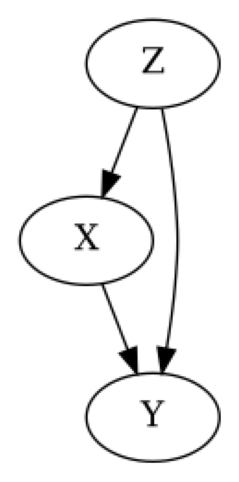
# With GML file
model=CausalModel(
        data = df,
        treatment='X',
        outcome='Y',
        graph="../example_graphs/simple_graph_example.gml"
        )
model.view_model()


display(Image(filename="causal_model.png"))
../_images/example_notebooks_load_graph_example_7_0.png
../_images/example_notebooks_load_graph_example_7_1.png

DOT format#

[6]:
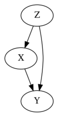
# With DOT string
model=CausalModel(
        data = df,
        treatment='X',
        outcome='Y',
        graph="digraph {Z -> X;Z -> Y;X -> Y;}"
        )
model.view_model()

from IPython.display import Image, display
display(Image(filename="causal_model.png"))
../_images/example_notebooks_load_graph_example_9_0.png
../_images/example_notebooks_load_graph_example_9_1.png
[7]:
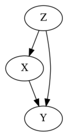
# With DOT file
model=CausalModel(
        data = df,
        treatment='X',
        outcome='Y',
        graph="../example_graphs/simple_graph_example.dot"
        )
model.view_model()


display(Image(filename="causal_model.png"))
../_images/example_notebooks_load_graph_example_10_0.png
../_images/example_notebooks_load_graph_example_10_1.png