DoWhy: Different estimation methods for causal inference#

This is a quick introduction to the DoWhy causal inference library. We will load in a sample dataset and use different methods for estimating the causal effect of a (pre-specified)treatment variable on a (pre-specified) outcome variable.

We will see that not all estimators return the correct effect for this dataset.

First, let us add the required path for Python to find the DoWhy code and load all required packages

[1]:
%load_ext autoreload
%autoreload 2
[2]:
import numpy as np
import pandas as pd
import logging

import dowhy
from dowhy import CausalModel
import dowhy.datasets

Now, let us load a dataset. For simplicity, we simulate a dataset with linear relationships between common causes and treatment, and common causes and outcome.

Beta is the true causal effect.

[3]:
data = dowhy.datasets.linear_dataset(beta=10,
        num_common_causes=5,
        num_instruments = 2,
        num_treatments=1,
        num_samples=10000,
        treatment_is_binary=True,
        outcome_is_binary=False,
        stddev_treatment_noise=10)
df = data["df"]
df
[3]:
Z0 Z1 W0 W1 W2 W3 W4 v0 y
0 1.0 0.347775 -0.140347 0.001483 -1.246091 -0.035472 -0.196068 True 5.799091
1 0.0 0.566854 0.704481 0.625353 0.860013 0.989273 1.113337 True 24.567941
2 1.0 0.912408 -0.303482 -0.294467 -0.319847 -0.326482 -1.392638 True 0.374055
3 1.0 0.556538 0.658212 -1.136134 0.244354 -1.727940 0.545711 True 2.952506
4 1.0 0.150270 -0.531910 0.252555 0.560975 -0.386600 -0.310289 True 7.846549
... ... ... ... ... ... ... ... ... ...
9995 1.0 0.520802 0.825484 -0.047065 -0.124653 -2.724479 -0.220413 True -2.259459
9996 1.0 0.272572 0.540638 0.598667 1.290346 -0.708197 0.005932 True 12.633358
9997 1.0 0.637896 0.826729 -0.583849 0.559671 0.182501 -0.741663 True 9.059625
9998 1.0 0.835005 -0.667411 -0.361189 -0.800808 -0.675726 1.107424 True 7.226601
9999 1.0 0.933497 -1.008693 -0.935369 1.857550 -0.729070 0.068480 True 6.425787

10000 rows × 9 columns

Note that we are using a pandas dataframe to load the data.

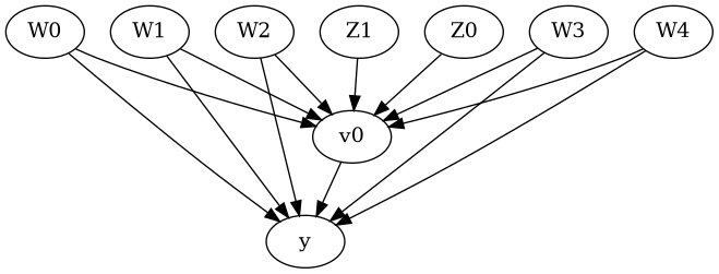
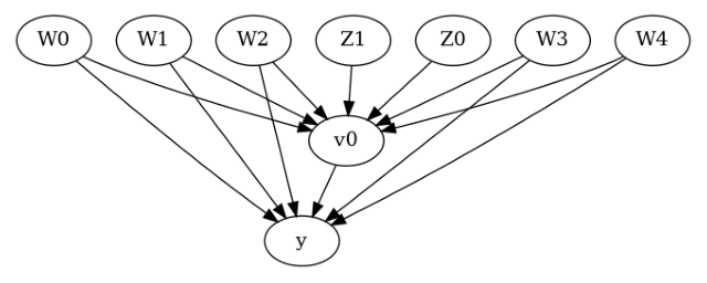
Identifying the causal estimand#

We now input a causal graph in the DOT graph format.

[4]:
# With graph
model=CausalModel(
        data = df,
        treatment=data["treatment_name"],
        outcome=data["outcome_name"],
        graph=data["gml_graph"],
        instruments=data["instrument_names"]
        )
[5]:
model.view_model()
../_images/example_notebooks_dowhy_estimation_methods_9_0.png
[6]:
from IPython.display import Image, display
display(Image(filename="causal_model.png"))
../_images/example_notebooks_dowhy_estimation_methods_10_0.png

We get a causal graph. Now identification and estimation is done.

[7]:
identified_estimand = model.identify_effect(proceed_when_unidentifiable=True)
print(identified_estimand)
Estimand type: EstimandType.NONPARAMETRIC_ATE

### Estimand : 1
Estimand name: backdoor
Estimand expression:
  d
─────(E[y|W2,W0,W1,W3,W4])
d[v₀]
Estimand assumption 1, Unconfoundedness: If U→{v0} and U→y then P(y|v0,W2,W0,W1,W3,W4,U) = P(y|v0,W2,W0,W1,W3,W4)

### Estimand : 2
Estimand name: iv
Estimand expression:
 ⎡                              -1⎤
 ⎢    d        ⎛    d          ⎞  ⎥
E⎢─────────(y)⋅⎜─────────([v₀])⎟  ⎥
 ⎣d[Z₀  Z₁]    ⎝d[Z₀  Z₁]      ⎠  ⎦
Estimand assumption 1, As-if-random: If U→→y then ¬(U →→{Z0,Z1})
Estimand assumption 2, Exclusion: If we remove {Z0,Z1}→{v0}, then ¬({Z0,Z1}→y)

### Estimand : 3
Estimand name: frontdoor
No such variable(s) found!

Method 1: Regression#

Use linear regression.

[8]:
causal_estimate_reg = model.estimate_effect(identified_estimand,
        method_name="backdoor.linear_regression",
        test_significance=True)
print(causal_estimate_reg)
print("Causal Estimate is " + str(causal_estimate_reg.value))
*** Causal Estimate ***

## Identified estimand
Estimand type: EstimandType.NONPARAMETRIC_ATE

### Estimand : 1
Estimand name: backdoor
Estimand expression:
  d
─────(E[y|W2,W0,W1,W3,W4])
d[v₀]
Estimand assumption 1, Unconfoundedness: If U→{v0} and U→y then P(y|v0,W2,W0,W1,W3,W4,U) = P(y|v0,W2,W0,W1,W3,W4)

## Realized estimand
b: y~v0+W2+W0+W1+W3+W4
Target units: ate

## Estimate
Mean value: 10.000022334603223
p-value: [0.]

Causal Estimate is 10.000022334603223

Method 2: Distance Matching#

Define a distance metric and then use the metric to match closest points between treatment and control.

[9]:
causal_estimate_dmatch = model.estimate_effect(identified_estimand,
                                              method_name="backdoor.distance_matching",
                                              target_units="att",
                                              method_params={'distance_metric':"minkowski", 'p':2})
print(causal_estimate_dmatch)
print("Causal Estimate is " + str(causal_estimate_dmatch.value))
*** Causal Estimate ***

## Identified estimand
Estimand type: EstimandType.NONPARAMETRIC_ATE

### Estimand : 1
Estimand name: backdoor
Estimand expression:
  d
─────(E[y|W2,W0,W1,W3,W4])
d[v₀]
Estimand assumption 1, Unconfoundedness: If U→{v0} and U→y then P(y|v0,W2,W0,W1,W3,W4,U) = P(y|v0,W2,W0,W1,W3,W4)

## Realized estimand
b: y~v0+W2+W0+W1+W3+W4
Target units: att

## Estimate
Mean value: 11.325748425931295

Causal Estimate is 11.325748425931295

Method 3: Propensity Score Stratification#

We will be using propensity scores to stratify units in the data.

[10]:
causal_estimate_strat = model.estimate_effect(identified_estimand,
                                              method_name="backdoor.propensity_score_stratification",
                                              target_units="att")
print(causal_estimate_strat)
print("Causal Estimate is " + str(causal_estimate_strat.value))
*** Causal Estimate ***

## Identified estimand
Estimand type: EstimandType.NONPARAMETRIC_ATE

### Estimand : 1
Estimand name: backdoor
Estimand expression:
  d
─────(E[y|W2,W0,W1,W3,W4])
d[v₀]
Estimand assumption 1, Unconfoundedness: If U→{v0} and U→y then P(y|v0,W2,W0,W1,W3,W4,U) = P(y|v0,W2,W0,W1,W3,W4)

## Realized estimand
b: y~v0+W2+W0+W1+W3+W4
Target units: att

## Estimate
Mean value: 10.09887366052027

Causal Estimate is 10.09887366052027

Method 4: Propensity Score Matching#

We will be using propensity scores to match units in the data.

[11]:
causal_estimate_match = model.estimate_effect(identified_estimand,
                                              method_name="backdoor.propensity_score_matching",
                                              target_units="atc")
print(causal_estimate_match)
print("Causal Estimate is " + str(causal_estimate_match.value))
*** Causal Estimate ***

## Identified estimand
Estimand type: EstimandType.NONPARAMETRIC_ATE

### Estimand : 1
Estimand name: backdoor
Estimand expression:
  d
─────(E[y|W2,W0,W1,W3,W4])
d[v₀]
Estimand assumption 1, Unconfoundedness: If U→{v0} and U→y then P(y|v0,W2,W0,W1,W3,W4,U) = P(y|v0,W2,W0,W1,W3,W4)

## Realized estimand
b: y~v0+W2+W0+W1+W3+W4
Target units: atc

## Estimate
Mean value: 9.709959048875497

Causal Estimate is 9.709959048875497

Method 5: Weighting#

We will be using (inverse) propensity scores to assign weights to units in the data. DoWhy supports a few different weighting schemes:

  1. Vanilla Inverse Propensity Score weighting (IPS) (weighting_scheme=”ips_weight”)

  2. Self-normalized IPS weighting (also known as the Hajek estimator) (weighting_scheme=”ips_normalized_weight”)

  3. Stabilized IPS weighting (weighting_scheme = “ips_stabilized_weight”)

[12]:
causal_estimate_ipw = model.estimate_effect(identified_estimand,
                                            method_name="backdoor.propensity_score_weighting",
                                            target_units = "ate",
                                            method_params={"weighting_scheme":"ips_weight"})
print(causal_estimate_ipw)
print("Causal Estimate is " + str(causal_estimate_ipw.value))
*** Causal Estimate ***

## Identified estimand
Estimand type: EstimandType.NONPARAMETRIC_ATE

### Estimand : 1
Estimand name: backdoor
Estimand expression:
  d
─────(E[y|W2,W0,W1,W3,W4])
d[v₀]
Estimand assumption 1, Unconfoundedness: If U→{v0} and U→y then P(y|v0,W2,W0,W1,W3,W4,U) = P(y|v0,W2,W0,W1,W3,W4)

## Realized estimand
b: y~v0+W2+W0+W1+W3+W4
Target units: ate

## Estimate
Mean value: 12.496195176644905

Causal Estimate is 12.496195176644905

Method 6: Instrumental Variable#

We will be using the Wald estimator for the provided instrumental variable.

[13]:
causal_estimate_iv = model.estimate_effect(identified_estimand,
        method_name="iv.instrumental_variable", method_params = {'iv_instrument_name': 'Z0'})
print(causal_estimate_iv)
print("Causal Estimate is " + str(causal_estimate_iv.value))
*** Causal Estimate ***

## Identified estimand
Estimand type: EstimandType.NONPARAMETRIC_ATE

### Estimand : 1
Estimand name: iv
Estimand expression:
 ⎡                              -1⎤
 ⎢    d        ⎛    d          ⎞  ⎥
E⎢─────────(y)⋅⎜─────────([v₀])⎟  ⎥
 ⎣d[Z₀  Z₁]    ⎝d[Z₀  Z₁]      ⎠  ⎦
Estimand assumption 1, As-if-random: If U→→y then ¬(U →→{Z0,Z1})
Estimand assumption 2, Exclusion: If we remove {Z0,Z1}→{v0}, then ¬({Z0,Z1}→y)

## Realized estimand
Realized estimand: Wald Estimator
Realized estimand type: EstimandType.NONPARAMETRIC_ATE
Estimand expression:
 ⎡ d    ⎤
E⎢───(y)⎥
 ⎣dZ₀   ⎦
──────────
 ⎡ d     ⎤
E⎢───(v₀)⎥
 ⎣dZ₀    ⎦
Estimand assumption 1, As-if-random: If U→→y then ¬(U →→{Z0,Z1})
Estimand assumption 2, Exclusion: If we remove {Z0,Z1}→{v0}, then ¬({Z0,Z1}→y)
Estimand assumption 3, treatment_effect_homogeneity: Each unit's treatment ['v0'] is affected in the same way by common causes of ['v0'] and ['y']
Estimand assumption 4, outcome_effect_homogeneity: Each unit's outcome ['y'] is affected in the same way by common causes of ['v0'] and ['y']

Target units: ate

## Estimate
Mean value: 11.127490882172872

Causal Estimate is 11.127490882172872

Method 7: Regression Discontinuity#

We will be internally converting this to an equivalent instrumental variables problem.

[14]:
causal_estimate_regdist = model.estimate_effect(identified_estimand,
        method_name="iv.regression_discontinuity",
        method_params={'rd_variable_name':'Z1',
                       'rd_threshold_value':0.5,
                       'rd_bandwidth': 0.15})
print(causal_estimate_regdist)
print("Causal Estimate is " + str(causal_estimate_regdist.value))
*** Causal Estimate ***

## Identified estimand
Estimand type: EstimandType.NONPARAMETRIC_ATE

### Estimand : 1
Estimand name: iv
Estimand expression:
 ⎡                              -1⎤
 ⎢    d        ⎛    d          ⎞  ⎥
E⎢─────────(y)⋅⎜─────────([v₀])⎟  ⎥
 ⎣d[Z₀  Z₁]    ⎝d[Z₀  Z₁]      ⎠  ⎦
Estimand assumption 1, As-if-random: If U→→y then ¬(U →→{Z0,Z1})
Estimand assumption 2, Exclusion: If we remove {Z0,Z1}→{v0}, then ¬({Z0,Z1}→y)

## Realized estimand
Realized estimand: Wald Estimator
Realized estimand type: EstimandType.NONPARAMETRIC_ATE
Estimand expression:
 ⎡        d            ⎤
E⎢──────────────────(y)⎥
 ⎣dlocal_rd_variable   ⎦
─────────────────────────
 ⎡        d             ⎤
E⎢──────────────────(v₀)⎥
 ⎣dlocal_rd_variable    ⎦
Estimand assumption 1, As-if-random: If U→→y then ¬(U →→{Z0,Z1})
Estimand assumption 2, Exclusion: If we remove {Z0,Z1}→{v0}, then ¬({Z0,Z1}→y)
Estimand assumption 3, treatment_effect_homogeneity: Each unit's treatment ['v0'] is affected in the same way by common causes of ['v0'] and ['y']
Estimand assumption 4, outcome_effect_homogeneity: Each unit's outcome ['y'] is affected in the same way by common causes of ['v0'] and ['y']

Target units: ate

## Estimate
Mean value: -25.48975455067238

Causal Estimate is -25.48975455067238

Method 8: Doubly Robust Estimator#

Combines a regression estimator and a propensity score estimator to give back a doubly robust estimate.

[15]:
causal_estimate_doubly_robust = model.estimate_effect(identified_estimand,
        method_name="backdoor.doubly_robust",
        method_params={'propensity_score_column':'propensity_score_dr'}
    )
print(causal_estimate_doubly_robust)
print("Causal Estimate is " + str(causal_estimate_doubly_robust.value))
*** Causal Estimate ***

## Identified estimand
Estimand type: EstimandType.NONPARAMETRIC_ATE

### Estimand : 1
Estimand name: backdoor
Estimand expression:
  d
─────(E[y|W2,W0,W1,W3,W4])
d[v₀]
Estimand assumption 1, Unconfoundedness: If U→{v0} and U→y then P(y|v0,W2,W0,W1,W3,W4,U) = P(y|v0,W2,W0,W1,W3,W4)

## Realized estimand
b: y~v0+W2+W0+W1+W3+W4
Target units: ate

## Estimate
Mean value: 10.000465442494628

Causal Estimate is 10.000465442494628
[ ]: